În urma articolului SNST prin care am arătat cum sunt afectați de măsurile de austeritate salariații de la Curtea de Conturi a României, am primit un mesaj din partea autorităților prin care ni s-a transmis că: „de fapt este vorba de tăieri, nu de majorări”.
Ei bine, așa tăieri ne-am dori și pentru cei care muncesc în domeniile reprezentate de noi! Toată lumea știe „rețeta”: prin scheme și formule speciale, unele categorii favorizate ies mereu pe plus la finalul așa-ziselor „tăieri”.
Respectăm procedura: publicăm această precizare oficială primită de SNST, atașăm și documentele prin care s-au majorat salariile în aprilie 2024 la Curtea de Conturi, și fiecare să tragă proprii concluziile .
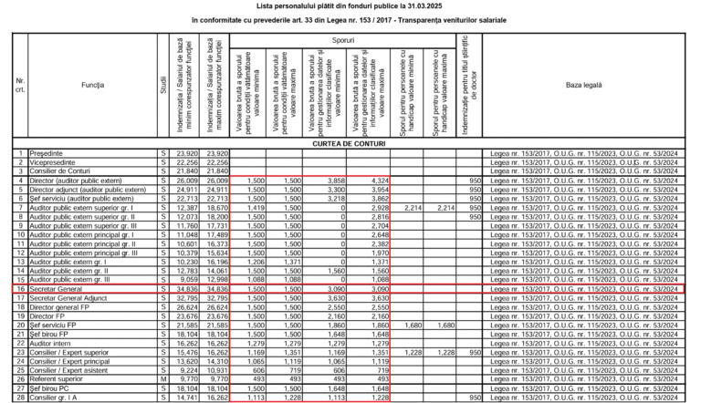
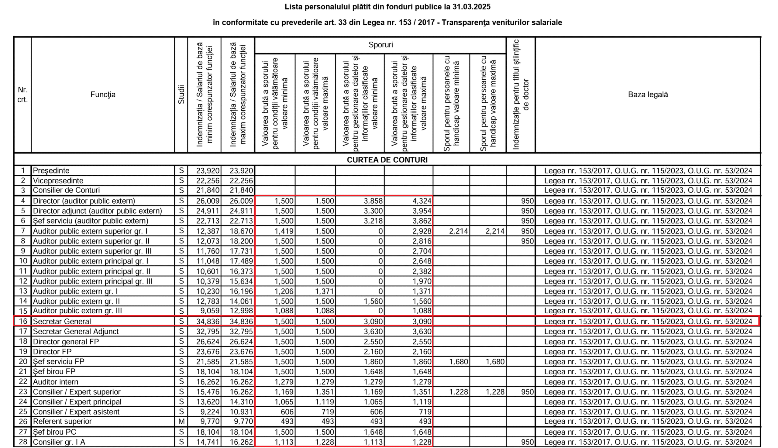
De asemenea, atașăm lista salariilor de la Curtea de Conturi la data de 31.03.2025 și extragem salariul de bază al secretarului general, care era de 34.836 lei, la care se adaugă:
- spor pentru condițiile de muncă – 1.500 lei
- spor pentru gestionarea datelor și informațiilor clasificate – 3.090 lei
În total: 39.426 lei salariul brut lunar.
Până atunci, rămâne întrebarea noastră legitimă: de ce pentru unii „tăierile” înseamnă salarii foarte mari, iar pentru ceilalți înseamnă austeritate la limita subzistenței?
TRANSPARENTA_ART._33_LEGEA_153din2017_salarii_minim_maxim_31.03.2025_
Articolul inițial:
#SNST #Austeritate #DubluStandard #Salarii #RespectPentruMunca
